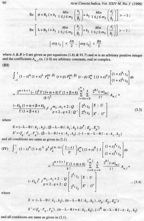
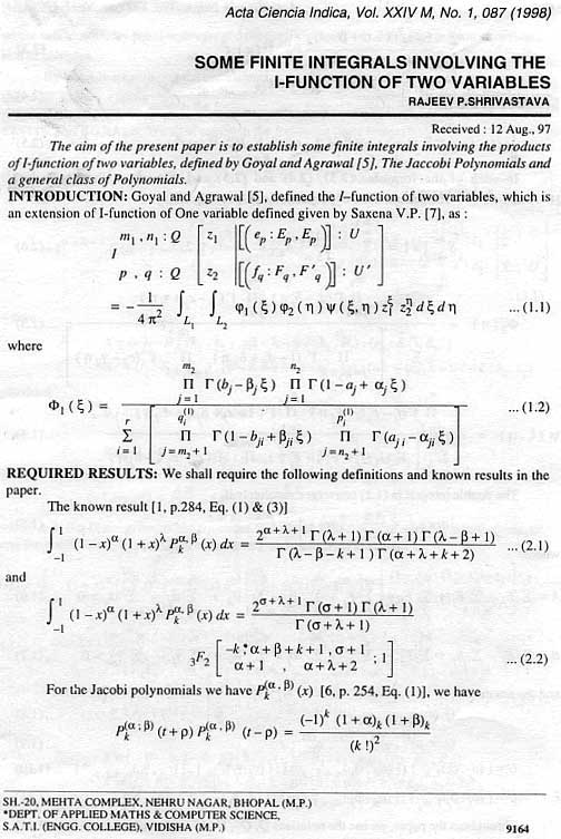
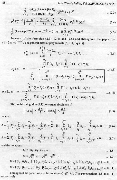
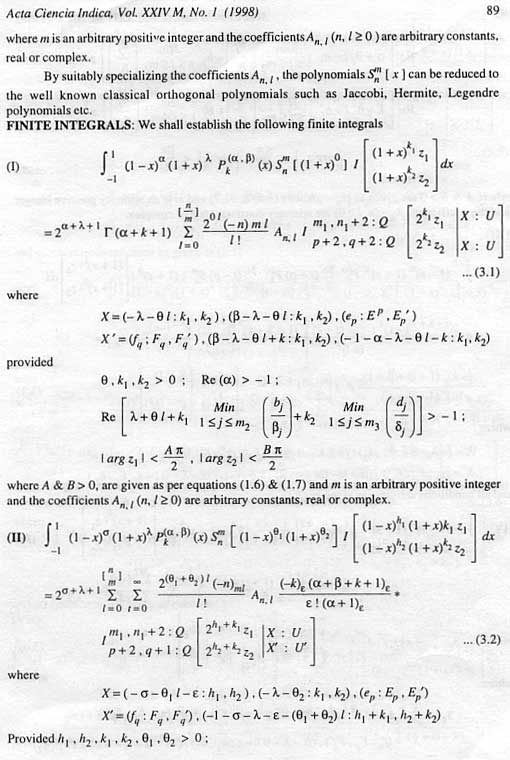
main
main

|

main