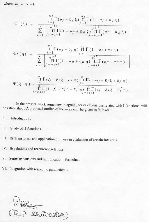
main

more | back

more | back